根据安徽师范大学“关于做好我校2021届优秀本科毕业生免试攻读硕士学位研究生推荐工作的通知”(教务处[2020]48号)文件精神,免费足球直播app
推荐2021届本科毕业生免试研究生工作正在进行。经过各专业内初选及公示,免费足球直播app
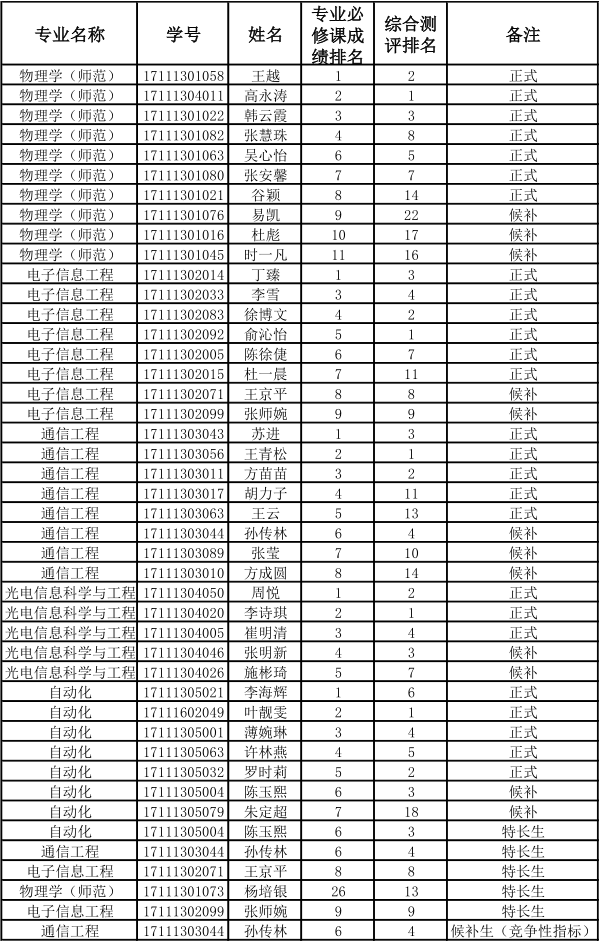
推免生遴选工作小组对符合条件的应届本科毕业生进行了审核遴选,拟推荐以下同学为2021届本科毕业生免试攻读硕士学位研究生人选(含候补人选)。现将名单予以公示。

对公示情况如有异议,请于2020年9月27日前与免费足球直播app
联系,联系电话:3883563。
免费足球直播app-最快足球比分网
2020年9月25日